主要職責
中國科學院貫徹落實黨中央關于科技創新的方針政策和決策部署,在履行職責過程中堅持黨中央對科技工作的集中統一領導。主要職責是:
一、開展使命導向的自然科學領域基礎研究,承擔國家重大基礎研究、應用基礎研究、前沿交叉共性技術研究和引領性顛覆性技術研究任務,打造原始創新策源地。 更多+
院況簡介
中國科學院是國家科學技術界最高學術機構、國家科學技術思想庫,自然科學基礎研究與高技術綜合研究的國家戰略科技力量。
1949年,伴隨著新中國的誕生,中國科學院成立。建院70余年來,中國科學院時刻牢記使命,與科學共進,與祖國同行,以國家富強、人民幸福為己任,人才輩出,碩果累累,為我國科技進步、經濟社會發展和國家安全作出了不可替代的重要貢獻。 更多+
院領導集體
科技獎勵
科技期刊
科技專項
科研進展/ 更多
工作動態/ 更多
工作動態/ 更多
中國科學院學部
中國科學院院部
語音播報
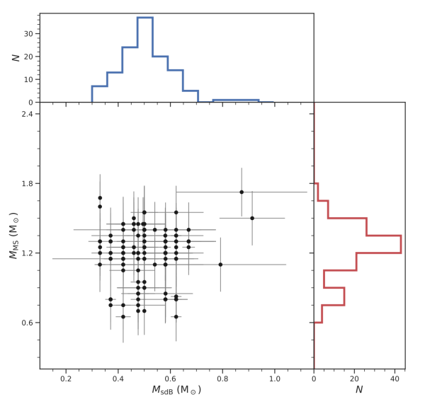
熱亞矮星是一類核心處于氦燃燒階段、外殼極薄的致密恒星,其演化過程對解釋橢圓星系紫外超出現象具有重要意義。
近日,中國科學院云南天文臺在熱亞矮星雙星物理參數統計研究方面取得進展。團隊基于郭守敬望遠鏡(LAMOST)低分辨率光譜數據,從前期候選體中篩選出123個高質量的熱亞矮星和主序星雙星系統。通過光譜分解技術獲取熱亞矮星有效溫度和表面重力,并結合恒星演化模型估算雙星各自的質量與半徑。
研究發現,熱亞矮星質量集中在0.5M⊙附近,符合核心氦燃燒星特征;主序伴星質量范圍為0.6-1.9M⊙,其中1.0-1.4M⊙占比最高,對應F/G型主序星。團隊采用蒙特卡洛方法進行統計推斷,揭示雙星軌道周期主要分布在數十天至數千天的長周期區間,與穩定洛希瓣外流通道形成的寬距雙星預期一致。
該研究構建了目前最大規模、參數最均勻的復合光譜熱亞矮星雙星樣本,系統揭示了此類天體質量、半徑及軌道周期的統計規律。結果表明,該類雙星群體主要通過穩定洛希瓣外流通道形成,為區分熱亞矮星雙星演化路徑提供了關鍵觀測約束。研究成果豐富了熱亞矮星形成機制的認知體系,為后續大樣本雙星演化統計研究奠定基礎。
相關研究成果發表在《天體物理學雜志》(The Astrophysical Journal)上。研究工作得到國家自然科學基金、國家重點研發計劃等的支持。

雙星系統中熱亞矮星與主序伴星的質量分布,熱亞矮星質量集中于0.5M⊙附近,而主序伴星質量范圍較寬。

通過蒙特卡洛方法統計推斷的軌道周期分布,系統周期主要集中在數十天至數千天的長周期區間。
掃一掃在手機打開當前頁
© 1996 - 中國科學院 版權所有 京ICP備05002857號-1
京公網安備110402500047號 網站標識碼bm48000002
地址:北京市西城區三里河路52號 郵編:100864
電話: 86 10 68597114(總機) 86 10 68597289(總值班室)








